지노랩 /JinoLab
8. 다중 입력·다중 출력(Multiple Input, Multiple Output, MIMO) 퍼셉트론 본문
프로그래밍/C언어를 이용한 Deep Learning
8. 다중 입력·다중 출력(Multiple Input, Multiple Output, MIMO) 퍼셉트론
지노랩/JinoLab 2025. 8. 3. 12:57이번 글에서는 다중 입력·다중 출력(Multiple Input, Multiple Output, MIMO) 퍼셉트론을 C 언어로 구현해 보겠습니다. 앞에서 구현한 “다중 입력·단일 출력”을 여러 개의 출력으로 확장한 형태입니다. 컴퓨터공학과 전공생 여러분이 쉽게 따라 할 수 있도록 이론과 코드 예제를 단계별로 설명합니다.
1. 네트워크 아키텍처
flowchart TB
subgraph Features
x0[온도 x₀]
x1[습도 x₁]
x2[공기질 x₂]
end
subgraph WeightsMatrix [가중치 행렬 W (3×3)]
direction TB
row0[/w₀₀ w₀₁ w₀₂\]
row1[/w₁₀ w₁₁ w₁₂\]
row2[/w₂₀ w₂₁ w₂₂\]
end
subgraph Outputs
y0[행복지수 y₀]
y1[건강지수 y₁]
y2[활동지수 y₂]
end
%% 벡터·행렬 곱 연산
Features -->|벡터·행렬 곱| Outputs
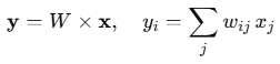
- 입력(features): [x0,x1,x2][x_0, x_1, x_2] = [온도, 습도, 공기질]
- 가중치 행렬(W): 크기 3×3

-
- 행(row) ii는 i번째 출력을 예측할 때 쓰는 가중치 벡터
- 열(column) jj는 j번째 입력에 대응하는 가중치
- 출력(outputs):

2. 의사코드(Pseudocode)
function predict_mimo(inputs[3], W[3][3], outputs[3]):
for i from 0 to 2: # 출력 인덱스
sum = 0
for j from 0 to 2: # 입력 인덱스
sum += W[i][j] * inputs[j]
outputs[i] = sum
return outputs
3. C 언어 구현
헤더 파일: simple_nn.h
#ifndef SIMPLE_NN_H
#define SIMPLE_NN_H
/**
* @brief 다중 입력·다중 출력 퍼셉트론 (벡터·행렬 곱)
* @param inputs 입력 벡터 (크기 n_inputs)
* @param W 가중치 행렬 (크기 n_outputs × n_inputs)
* @param outputs 출력 벡터 저장 (크기 n_outputs)
* @param n_inputs 입력 개수
* @param n_outputs 출력 개수
*/
void predict_mimo(const double *inputs,
const double **W,
double *outputs,
int n_inputs,
int n_outputs);
#endif // SIMPLE_NN_H
Tip: 2D 배열을 넘길 때 const double **W 형태로 선언했지만, 실제 메모리에서는 1차원 배열을 인덱스 산술로 처리해도 무방합니다.
구현 파일: simple_nn.c
#include "simple_nn.h"
void predict_mimo(const double *inputs,
const double **W,
double *outputs,
int n_inputs,
int n_outputs) {
for (int i = 0; i < n_outputs; i++) {
double sum = 0.0;
for (int j = 0; j < n_inputs; j++) {
sum += W[i][j] * inputs[j];
}
outputs[i] = sum;
}
}
메인 파일: main.c
#include <stdio.h>
#include "simple_nn.h"
// 특성 개수와 출력 개수
#define N_INPUTS 3
#define N_OUTPUTS 3
int main(void) {
// 입력 벡터: 온도, 습도, 공기질
double inputs[N_INPUTS] = {30.0, 70.0, 60.0};
// 가중치 행렬 W: [출력][입력]
static const double W_data[N_OUTPUTS][N_INPUTS] = {
/* 행 0: 행복지수 예측→ 온도, 습도, 공기질 가중치 */
{ 0.5, 0.1, 0.3 },
/* 행 1: 건강지수 예측 */
{ 0.2, 0.7, 0.1 },
/* 행 2: 활동지수 예측 */
{ 0.4, 0.2, 0.6 }
};
// 2D 배열 포인터로 변환
const double *W_ptrs[N_OUTPUTS];
for (int i = 0; i < N_OUTPUTS; i++) {
W_ptrs[i] = W_data[i];
}
double outputs[N_OUTPUTS];
// 다중 입력·다중 출력 예측 수행
predict_mimo(inputs, W_ptrs, outputs, N_INPUTS, N_OUTPUTS);
// 결과 출력
const char *labels[N_OUTPUTS] = {
"행복지수", "건강지수", "활동지수"
};
for (int i = 0; i < N_OUTPUTS; i++) {
printf("%s: %.2f\n", labels[i], outputs[i]);
}
return 0;
}
4. 빌드 & 실행
gcc -o SimpleNN main.c simple_nn.c
./SimpleNN
행복지수: 27.00
건강지수: 56.00
활동지수: 34.00
5. 요약 및 확장 아이디어
- 핵심 연산: 벡터·행렬 곱

- 확장 과제:
- **편향(bias)**를 각 출력에 추가

-
- 활성화 함수 적용 → ReLU, Sigmoid 등
- 다층 퍼셉트론(MLP) 구조로 확장하고 역전파(backpropagation) 구현
- 배치 처리: 다수 샘플을 한 번에 연산하는 행렬 곱 적용
이번 실습을 통해 신경망의 기본 빌딩 블록인 벡터·행렬 연산을 C 언어로 직접 구현해 보았습니다. 다음 포스팅에서는 역전파 알고리즘과 경사하강법(Gradient Descent) 을 사용해 가중치 학습 과정을 다룹니다. 많은 관심 부탁드립니다!
'프로그래밍 > C언어를 이용한 Deep Learning' 카테고리의 다른 글
| 10. 비교(compare) / 오차(error) 계산 (1) | 2025.08.05 |
|---|---|
| 9. 은닉층(hidden layer) (4) | 2025.08.04 |
| 7. 다중 입력·단일 출력 퍼셉트론을 C 언어로 (1) | 2025.08.02 |
| 6. 3가지 입력(온도·습도·공기질)으로 하나의 출력(행복/슬픔 지수) (2) | 2025.08.01 |
| 5. 단일 입력·다중 출력 퍼셉트론 구현하기 (3) | 2025.07.31 |